哎,近迷上了一款游戏,叫《战网红警等级》,听起来就挺带劲儿是不是?其实说白了,就是个升级打怪的游戏,不过背景设定在红警世界里,感觉还挺新鲜的。我这个人比较佛系,玩游戏图个乐呵,不怎么追求什么排名,所以玩起来也比较轻松。
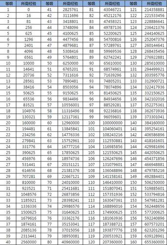
这游戏啊,等级制度还挺有意思的。刚开始玩的时候,那升级速度杠杠的,嗖嗖地就窜上去了。0到1级,好像也就花了我半天时间,轻松得很。后面等级越高,需要的经验值就越多,这升级速度就开始慢下来了。我记得-级需要870经验,-级就需要4350经验了,这差距,啧啧。再往后,-级需要10440经验,-级21750经验,-级更是要56250经验!简直是指数级增长啊!这让我这个easy玩家有点压力了。
| 等级 | 所需经验 |
|---|---|
| -级 | |
| -级 | |
| -级 | |
| -级 | |
| -级 | |
| -级 | |
| -级 | |
| -级 |
不过也没关系,慢慢玩呗。我发现这游戏里升级的方法还挺多的,不只是打怪升级那么简单。比如完成游戏里的各种任务,就能获得不少经验值,有时候还能拿到一些额外的奖励,比如游戏里的虚拟货币或者一些稀有资源。这些资源可以用来强化你的部队,提升战斗力,这样打怪升级的速度自然就快了。
还有就是组队打怪,跟朋友一起玩,效率更高。一个人打怪,可能要花半天时间才能完成一个任务,但是如果几个人一起组队,那速度简直飞起,轻松很多。而且跟朋友一起玩,气氛也更热闹,游戏体验更好。
再说说游戏里的技巧吧,其实也没啥特别高深的,主要就是熟悉游戏里的各种单位和建筑,知道他们的优缺点,然后根据不同的情况,选择合适的战术。比如,对上对方的坦克部队,你就要用反坦克武器,不能硬碰硬,不然肯定吃亏。还有就是资源的管理,要学会合理利用资源,别浪费了。毕竟资源是升级的关键,资源够多,升级也快。
下载安装这游戏也很简单,直接在游戏平台上搜索就能找到。我记得我玩的是新版,也没啥特别的bug,玩起来很流畅。版本号记不清了,不过在游戏里能看到,你们自己下载看看就知道了。
关于游戏里的角色等级和基地等级,我一开始也搞不清楚,后来才明白。角色等级就是你个人账号的等级,主要影响你的属性,比如攻击力、防御力等等。基地等级就相当于你的城镇等级,决定了你基地的规模和设施。这两个等级都要升级,相互促进。

其实这游戏还有很多其他的玩法,比如建造基地、发展经济等等,这些玩法都很有趣,也很有挑战性。但我个人比较喜欢打怪升级,感觉比较爽快。当然,如果你喜欢策略性更强的游戏,也可以多花些时间在基地建设和资源管理上。
这款《战网红警等级》游戏,玩起来很轻松愉快,而且可玩性也很高。虽然升级过程可能会有点慢,但是只要掌握了技巧,再加上朋友的帮助,升级还是很快的。
说到这里,我想问问大家,你们玩这游戏都喜欢用什么战术?有没有什么特别的升级技巧可以分享一下?我很乐意听听你们的经验。







